歡迎來到北京康高特 - 只為給你更好的測試體驗,只為讓我們成為更好的自己! English 中文

telphone

多普勒法測流簡介

來源:北京康高特儀器設備有限公司 發布時間:2016-02-23 14:48:58 作者: 瀏覽次數:5731次 分類:技術文章

       利用超聲波測量流速、流量的技術,在海洋觀測、河流流量測驗等各種計量測試中已被廣泛應用。利用超聲波測量流速、流量的方法是多種多樣的,有相位差法、時間差法、射束位移法以及對流速變化較其他方法更為靈敏的多普勒法。


1、多普勒法測量原理

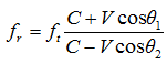
       多普勒法測量原理,是依據聲波中的多普勒效應,其檢測量為漂移頻率。換能器發射某一固定頻率的聲波ft,由于顆粒物的漫反射,換能器接收到被水體中顆粒物散射回來的聲波fr,假定顆粒物的運動速度V與水體流速相同,當顆粒物的運動方向接近換能器時,換能器接收到的回波頻率比發射波頻率高;當顆粒物的運動方向背離換能器時,換能器接收到的回波頻率比發射波頻率低。如果靜止介質中的聲速取為C,那么聲學多普勒頻移,即發射聲波頻率與回波頻率之差fr可表示為:

       式中:θ1θ2分別為超聲波發射方向、反射方向與水流流動方向的夾角;V為流速。

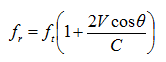
當C>>V時,有:

       在θ1=θ2=θ時,則:

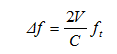
       即超聲波收發頻率之差為:

       由此可知,多普勒頻移與流速成正比。


2、聲學多普勒流速剖面儀

2.1、ADCP(走航式)流量測量原理

       ADCP(AcousticDopplerCurrentProfiler)是一種利用聲學多普勒原理測量水流速剖面的儀器。ADCP儀器內有羅盤、傾斜計、溫度傳感器、DGPS接口、換能器(3個或4個)等部件。換能器與ADCP軸線呈一定夾角。每個換能器既是發射器又是接收器,換能器發射的聲波能量集中于較窄的范圍內,稱為聲束(類似于手電筒或探照燈發射的光束)。換能器發射某一固定頻率的聲波,然后接收被水體中顆粒物散射回來的聲波。假定顆粒物的運動速度與水體流速相同,那么聲學多普勒頻移,即發射聲波頻率與回波頻率之差由下式確定,即:

       ADCP每個換能器軸線即為一個聲束坐標。每個換能器測量的流速是水流沿其聲束坐標方向的速度。任意3個換能器軸線即組成一組相互獨立的空間聲束坐標系。另外,ADCP自身定義有直角坐標系(局部坐標系)X-Y-Z,Z方向與ADCP軸線方向一致。ADCP首先測出沿每一聲束坐標的流速分量,然后利用聲束坐標與X-Y-Z坐標之間的轉換關系(取決于聲束角),將聲束坐標系下的流速轉換為X-Y-Z坐標系下的三維流速,再利用羅盤和傾斜計提供的方向和傾斜數據,將X-Y-Z坐標系下的流速轉換為地球坐標系下的流速。


       
ADCP測量流量時,將測流斷面分成若干個子斷面,在每個子斷面內測量垂線上一點或多點流速并測量水深,從而得到子斷面內的平均流速和流量,再將各個子斷面的流量疊加,*得到整個斷面的流量。在進行斷面流量測量過程中,ADCP實際測量的區域為斷面的

中部區域,這個區域稱為ADCP實測區。而在4個邊緣區域內,ADCP不能提供測量數據或有效測量數據。第一個區域靠近水面(表層),其厚度大約為ADCP換能器入水深度、ADCP盲區以及單元尺寸一半之和。第二個區域靠近河底(底層),稱為“旁瓣”區(河底對聲束的干擾區),其厚度取決于ADCP聲束角(即換能器與ADCP軸線的夾角)。第三個區域和第四個區域為靠近兩側河岸的區域,因其水深較淺,測量船不能靠近,或者ADCP不能保證在垂線上至少有1個或2個有效測量單元。這4個區域通稱為非實測區,其流速和流量需通過實測區數據外延來估算。


2.2、性能比較

       根據聲信號發射和處理方法,ADCP分為寬帶型和窄帶型。寬帶ADCP與窄帶ADCP的區別在于它們采用不同的聲信號發射、接收和處理方法。窄帶ADCP的聲信號發射、接收和處理方法是:對于每一個流速測量,ADCP發射一個單獨的、相對講較長的脈沖聲波,然后接受這個脈沖的反射波,并記錄發射波與反射波之間的頻率改變來計算水體的速度。寬帶ADCP的聲信號發射、接收和處理方法是:對于每一個流速測量,ADCP發射2組或更多組編碼脈沖波,ADCP測量脈沖波組之間的相關系數及相位差,用來計算多普勒頻移。

       (1)寬帶ADCP流速測量短期精度比窄帶ADCP高4倍左右。

       (2)寬帶ADCP流速測量的時間分辨率(或走航測量時的水平空間分辨率)比窄帶ADCP高16倍左右。

       (3)寬帶ADCP盲區較小,垂向空間分辨率較高。

       (4)寬帶ADCP對水深和含沙量變化的適應性較好。


3、ADCP在測流中的應用

       近幾年來,ADCP在水文領域已逐步得到推廣應用,取得了很大進展。


       2001年9月,上海市水文總站在黃浦江松浦大橋水文站測流斷面,用1臺RDI公司生產的“瑞江”牌600kHz走航式ADCP與傳統轉子式流速儀進行了25小時連續測量比測,結果表明,兩者測量結果吻合很好。


       2002年9月18-20日,水利部長江水利委員會與RDI公司聯合進行了將ADCP與DGPS、測深儀及電羅經集成的試驗。試驗選擇了位于三峽大壩下游約5km處的黃陵廟水文站測流斷面,流量約為11000m3/s,河寬約為400m,河床*深處為53m,含沙量約為0.5kg/m3。試驗采用了4臺RDI公司的ADCP儀器。試驗結果表明,采用DGPS、測深儀及電羅經數據得到的流量與底跟蹤得到的流量吻合很好,滿足測流精度,試驗取得了成功。這是國內*將DGPS、測深儀及電羅經同時與ADCP集成,從而解決了ADCP在洪水期使用時遇到的高含沙量水流、河底存在推移質運動以及磁羅盤受鐵殼船干擾等問題。


       在1997年三峽工程大江截流和2002年11月6日三峽工程明渠截流中,也使用了ADCP進行流量測量,并取得了圓滿成功。


       由于ADCP測量方法的優越性明顯高于傳統的測量方法,ADCP將在各領域越來越多地得以應用。

相關產品