歡迎來到北京康高特 - 只為給你更好的測試體驗,只為讓我們成為更好的自己! English 中文

telphone

皮托管原理

來源:北京康高特儀器設備有限公司 發布時間:2015-09-22 16:08:23 作者: 瀏覽次數:11316次 分類:技術文章

1.測量原理和結構

      皮托靜壓管(皮托管)是由一個垂直在支桿上的圓筒形流量頭組成的管狀裝置。本裝置在側壁周圍有一些靜壓孔,頂端有一個迎流的全壓孔。它能測出壓差,并根據壓差確定流體中某處的流速,由流速與面積的乘積計算出流量。


      皮托管的測量原理是基于伯努利方程在空氣中應用的一個實例,如圖1所示。當理想流體均勻的平行流向靜止物體時,設想其中一條撞在物體上(即圖1中的A點),在此處流體發生分岔,A點成為滯止或駐點,A的流速為零,V-A=0。


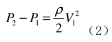
      如果我們選擇兩個截面Ⅰ-Ⅰ、Ⅱ-Ⅱ,Ⅰ-Ⅰ截面流動沒有受到任何影響,流束是平行的,流速形成規則的速度分布,截面各點的靜壓力相等。Ⅱ-Ⅱ界面流動受到影響,流束密集,流速加快,靜壓降低。則兩個面上的伯努利方程為

      式中:

      ζ為Ⅰ-Ⅰ到Ⅱ-Ⅱ區間的流體阻力系數,這里可以不考慮,即ζ=0

      K為速度分布不均勻系數,這里可設K1=K2=1

      ρ為流體密度,因為是均勻的ρ12

      P為兩個截面的靜壓力

      V為兩個截面的流速,VA=V2=0


      整理得到的公式為:

      式中:

      P2為總壓力(因為動壓為零)

      P1為靜壓力

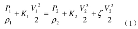
      如圖1所示,若在物體B點開一個孔,由于均勻流場中靜壓力相等,則P1=PB=0

      令P2=P1,V1=V,則公式2*變為:

      式中:P-P0實際上是流場中某一點流體的動壓力P。


2.皮托管結構

      皮托管的原理結構如下圖所示,當一臺差壓計兩端分別于總壓管和靜壓管連接,這樣壓差計上*可以顯示出動壓值來。

      上圖是一般皮托管的結構,為了能看清,把兩端放大。如圖中可以看到皮托管外形是一個L型的金屬管,與管軸平行安置的直角邊是測頭,其頂端有一個總壓孔,在其側壁上有若干個靜壓孔。總壓孔與靜壓孔不相通,分別用導壓管引出,從靜壓孔至總壓孔稱為鼻端。直角的另一邊稱為支桿,引出總壓孔和靜壓孔的接頭以便與微壓計的管相連接。其上有定向桿,指示鼻端方向。測量總壓力的管子叫皮托管,測量靜壓力的管子叫靜壓管。實際上常用的都是皮托管和靜壓管的組合,而且多數使用實驗系數接近為1的形狀,也*是國際標準推薦的GETIAT(錐形頭)型,AMCA型(球形頭),MPL型(橢圓形頭三種),如下圖所示


3.皮托管的使用范圍

      A. 流體性質:連續的單相流體或是具有與單相流體相類似的流體。如果是液體,應該是牛頓流體,流動時沒有橫向速度梯度

      B. 皮托管一般常用的流速為5至30m/s,不能用于馬赫數大于0.8的流體,而且為了獲得*佳的準確度,應在皮托管使用條件下進行校準。當馬赫系數在0.9-1.0之間,大多數皮托管出現不規性,不能用以進行測量。

      C. 皮托管的d/D不能大于0.04,當在0.02-0.04時需要對阻塞影響和速度梯度進行修正,在高流速場合應避免皮托管振動。

相關產品