歡迎來到北京康高特 - 只為給你更好的測試體驗,只為讓我們成為更好的自己! English 中文

telphone

紫外一可見分光光度法

來源:北京康高特儀器設備有限公司 發布時間:2016-08-25 18:11:48 作者: 瀏覽次數:7446次 分類:技術文章

1、簡述
       紫外一可見分光光度法是通過被測物質在紫外光區或可見光區的特定波長處或一定波長范圍內的吸光度,對該物質進行定性和定量分析的方法。本法在檢驗中主要用于物質的鑒別、檢查和含量測定。

       定量分析通常選擇物質的*大吸收波長處測出吸光度,然后用對照品或吸收系數求算出被測物質的含量,多用于制劑的含量測定;對已知物質定性可用吸收峰波長或吸光度比值作為鑒別方法;若該物質本身在紫外光區無吸收,而其雜質在紫外光區有相當強度的吸收,或雜質的吸收峰處該物質無吸收,則可用本法作雜質檢查。


       物質對紫外輻射的吸收是由于分子中原子的外層電子躍遷所產生,因此,紫外吸收主要決定于分子的電子結構,故紫外光譜又稱電子光譜。有機化合物分子結構中如含有共扼體系、芳香環等發色基團,均可在紫外區(200-400nm)或可見光區(400-850nm)產生吸收。通常使用的紫外一可見分光光度計的工作波長范圍為190-900nm。


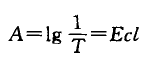
       紫外吸收光譜為物質對紫外區輻射的能量吸收圖。朗伯一比爾(Lambert一Beer)定律為光的吸收定律,它是紫外分光光度法定量分析的依據,其數學表達式為

 
       式中A為吸光度;
       T為透光率;
       E為吸收系數;
       c為溶液濃度;
       l為光路長度。

       如溶液的濃度(c)為1%(gml),光路長度(l)為1cm,相應的吸光度即為吸收系數,以Ecl表示。如溶液的濃度(c)為摩爾濃度(molL),光路長度為1cm時,則相應的吸收系數為摩爾吸收系數,以ε表示。


2、儀器

       紫外一可見分光光度計主要由光源、單色器、樣品室、檢測器、記錄儀、顯示系統和數據處理系統等部分組成。

       為了滿足紫外一可見光區全波長范圍的測定,儀器備有兩種光源,即氛燈和碘鎢燈,前者用于紫外區,后者用于可見光區。


       單色器通常由進光狹縫、出光狹縫、平行光裝置、色散元件,聚焦透鏡或反射鏡等組成。色散元件有棱鏡和光柵兩種,棱鏡多用天然石英或熔融硅石制成,對200-400nm波長光的色散能力很強,對600nm以上波長的光色散能力較差,棱鏡色散所得的光譜為非勻排光譜。光柵系將反射或透射光經衍射而達到色散作用,故常稱為衍射光柵,光柵光譜是按波長作線性排列,故為勻排光譜,雙光束儀器多用光柵為色散元件。

檢測器有光電管和光電倍增管兩種。

       紫外一可見分光光度計依據其結構和測量操作方式的不同可分為單光束和雙光束分光光度計兩類。單光束分光光度計有些仍為手工操作,即固定在某一波長,分別測量比較空白、樣品或參比的透光率或吸光度,操作比較費時,用于繪制吸收光譜圖時很不方便,但適用于單波長的含量測定。雙光束分光光度計藉扇形鏡交替切換光路使分成樣品(S)和參比(R)兩光束,并先后到達檢測器,檢測器信號經調制分離成兩光路對應信號,信號的比值可直接用記錄儀記錄,雙光束分光光度計操作簡單,測量快速,自動化程度高,但作含量測定時,為求準確起見,仍宜用固定波長測量方式。


3、紫外一可見分光光度計的檢定

       3.1波長準確度
       
       3.1.1波長準確度的允差范圍

         紫外一可見分光光度計波長準確度允許誤差,紫外區為±lnm,500nm處±2nm。
       
       
3.1.2波長準確度檢定方法

       
       3.1.2.1用低壓汞燈檢定

       關閉儀器光源,將汞燈(用筆式汞燈*方便)直接對準進光狹縫,如為雙光束儀器,用單光束能量測定方式,采用波長掃描方式,掃描速度“慢”(如15nmmin)、響應“快”、*小狹縫寬度(如0,lnm)、量程。0-*,在200-800nm范圍內單方向重復掃描3次,由儀器識別記錄各峰值(若儀器無“峰檢測”功能,必要時可對指定波長進行“單峰”掃描)。

       單光束儀器以7516型為例,可將選擇開關放在X 0.1位置,透光率讀數放在100(或選擇開關放在X1,透光率放在10),關小狹縫,打開光閘門,緩緩轉動波長盤,尋找汞燈546.07nm峰出現的位置,若與波長讀數不符,應調節儀器左側準直鏡的波長調整螺絲,如波長向短波長方向移動,應順時針方向旋轉波長調整螺絲,如向長波方向移動,則應反時針方向旋轉波長調整螺絲,調整好后,再按汞燈的下列譜線測試,記錄每條譜線與儀器波長讀數的誤差。

       用于檢定紫外一可見分光光度計的汞燈譜線波長237.83,253.65,275.28,296.73,302.15,313.16,334.15,365.02,365.48,366.33,404.66(紫色)、435.83(藍色)、546.07(綠色),576.96(黃色)及579.07nm。


       3.1.2.2用儀器固有的氘燈檢定

       本法主要用于日常工作中波長準確度的核對。取單光束能量測定方式,測量條件同上述低壓汞燈的方法,對486.02nm及656.lOnm二單峰進行方向重復掃描3次。

       3.1.2.3用氧化鈥玻璃檢定

       將氧化鈥玻璃放人樣品光路,參比光路為空氣,按測定吸收光譜圖方法測定。校正自動記錄儀器時,應考慮記錄儀的時間常數,測定樣品與校正時取同一掃描速度。氧化鈥玻璃在279.4,287.5,333.7,360.9,418.7,460.0,484.5,536.2及637.5nm波長處有尖銳的吸收峰,可供波長檢定用。氧化鈥玻璃因制造的原因,每片氧化鈥的吸收峰波長有差異,另外,在放置過程中也會發生波長漂移,因此需定期由計量部門校驗。

       3.1.2.4用高氯酸欽溶液檢定

       本法可供沒有單光束測定功能的雙光束紫外分光光度計波長準確度檢定用。

       高氯酸欽溶液的配制方法取10%高氯酸為溶劑,加人氧化鈥(Ho2 03)配成4%溶液即得。高氯酸欽溶液較強的吸收峰波長為241.13,278.10,287.18,333.44,345.47,361.31,416.28,451.30,485.29,536.64,640.52nm。

如果是雙光束掃描儀器,但不是數據貯存型的(指是直接將信號描記于記錄紙上),記錄的波長可能因記錄筆滯后而非真實波長,為了準確測定,建議采用定點檢定而不用掃描方式。

       3.2吸光度準確度

       精密稱取在120℃干燥至恒重的基準重鉻酸鉀約60mg,置1000m1量瓶中,用0.005mo1L硫酸液溶解并稀釋至1000m1,用配對的1 cm石英池,以0.005mo1L硫酸液為空白,在235,257,313,350nm分別測定吸光度,然后換算成E,測得值應符合表1中規定的允差范圍。
       分辨率、基線平直度、穩定度、絕緣電阻等項檢定,按現行*技術監督局“雙光束紫外一可見分光光度計檢定規程”檢定,應符合有關項下的規定。日常使用中,對以上兩項,即波長和吸光度準確度應根據需要隨時檢查。

       3. 3雜散光的檢查

       可按表2所列的試劑和濃度,配制成水溶液,置1 cm石英池中,在規定的波長處測定透光率,應符合表2中規定。

4、樣品測定操作方法

       4.1吸收系數測定(性狀項下)
       按各品種項下規定的方法配制供試品溶液,在規定的波長處(參見5.8項)測定其吸光度,并計算吸收系數,應符合規定范圍。

       4.2鑒別及檢查

       按各品種項下的規定,測定供試品溶液的*大及*小吸收波長,有的必須測定其在*大吸收波長與*小吸收波長處的吸光度比值,均應符合規定。

       4.3含量測定


       4.3.1對照品比較法

       按各品種項下規定的方法,分別配制供試品溶液和對照品溶液,對照品溶液中所含被測成分的量應為供試品溶液中被測成分標示量的*土10%以內,用同一溶劑,在規定的波長處測定供試品溶液和對照品溶液的吸光度。

       4.3.2吸收系數法

       按各品種項下配制供試品溶液,在規定的波長及該波長士2 nm處測定其吸光度,按各該品種在規定條件下給出的吸收系數計算含量。用本法測定時,吸收系數通常應大于100,并注意儀器的校正和檢定,如測定新品種的吸收系數,需按后列“吸收系數測定法”的規定進行。

       4.3.3計算分光光度法

       按規定,計算分光光度法一般不宜用于含量測定,對于少數采用計算分光光度法的品種,應嚴格按各品種項下規定的方法進行。用本法時應注意有一些吸光度是在待測成分吸收曲線的上升或下降陡坡處測定,影響精度的因素較多,故應仔細操作,盡量使供試品和對照品的測定條件一致。若該品種不用對照品,如維生素A測定法,則應在測定前對儀器作仔細的校正和檢定。

       4.3.4比色法

       供試品本身在紫外一可見光區沒有強吸收,或在紫外光區雖有吸收但為了避免干擾或提高靈敏度,加人適當的顯色劑,使反應產物的*大吸收移至可見光區。
用比色法測定時,由于顯色時影響顯色深淺的因素較多,應取供試品與對照品或標準品同時操作。除另有規定外,比色法所用的空白系指用同體積的溶劑代替對照品或供試品溶液,然后依次加入等量的相應試劑,并用同樣方法處理。

       當吸光度和濃度關系不呈良好線性時,應取數份梯度量對照品溶液,用溶劑補充至同一體積,顯色后測定各份溶液的吸光度,然后以吸光度與相應的濃度繪制標準曲線,再根據供試品的吸光度在標準曲線上查得其相應的濃度,并求出其含量。

5、注意事項

       1.試驗中所用的量瓶和移液管均應經檢定校正、洗凈后使用。

       2.使用的石英吸收池必須潔凈。當吸收池中裝人同一溶劑,在規定波長測定各吸收池的透光率,如透光率相差在0.3%以下者可配對使用,否則必須加以校正。


       3.取吸收池時,手指拿毛玻璃面的兩側。裝樣品溶液的體積以池體積的45為度,使用揮發性溶液時應加蓋,透光面要用擦鏡紙由上而下擦拭干凈,檢視應無殘留溶劑,為防止溶劑揮發后溶質殘留在池子的透光面,可先用醛有空白溶劑的擦鏡紙擦拭,然后再用干擦鏡紙拭凈。吸收池放人樣品室時應注意每次放人方向相同。使用后用溶劑及水沖洗干凈,晾干,防塵保存,吸收池如污染不易洗凈時可用硫酸發煙硝酸(31VV)混合液稍加浸泡后,洗凈備用。如用鉻酸鉀清潔液清洗時,吸收池不宜在清潔液中長時間浸泡,否則清潔液中的鉻酸鉀結晶會損壞吸收池的光學表面,并應充分用水沖洗,以防鉻酸鉀吸附于吸收池表面。


       4.含有雜原子的有機溶劑,通常均具有很強的末端吸收。因此,當作溶劑使用時,它們的使用范圍均不能小于截止使用波長。例如甲醇、乙醇的截止使用波長為205nm。另外,當溶劑不純時,也可能增加干擾吸收。因此,在檢查所用的溶劑在供試品所用的波長附近是否符合要求,即將溶劑置1 cm石英吸收池中,以空氣為空白(即空白光路中不置任何物質)測定其吸光度,溶劑和吸收池的吸光度應符合表3規定。


       5.稱量應按規定要求。配制測定溶液時稀釋轉移次數應盡可能少,轉移稀釋時所取容積一般應不少于5m1。含量測定時供試品應稱取2份,如為對照品比較法,對照品一般也應稱取2份。吸收系數檢查也應稱取供試品2份,平行操作,每份結果對平均值的偏差應在±0.5%以內。作鑒別或檢查可取樣品1份。


       6.供試品溶液的濃度,除各品種項下已有注明者外,供試品溶液的吸光度以在0.3~0.7之間為宜,吸光度讀數在此范圍誤差較小,并應結合所用儀器吸光度線性范圍,配制合適的讀數濃度。


       7.選用儀器的狹縫譜帶寬度應小于供試品吸收帶半高寬的1000,否則測得的吸光度值會偏低,或以減小狹縫寬度時供試品溶液的吸光度不再增加為準,對于紫外分光光度法測定的大部分品種,可以使用2nm縫寬,但當吸收帶的半高寬小于20nm時,則應使用較窄的狹縫,例如青霉素鉀及鈉的吸光度檢查需用1nm縫寬或更窄,否則其264nm的吸光度會偏低。


       8.測定時除另有規定者外,應在規定的吸收峰±2nm處,再測幾點的吸光度,以核對供試品的吸收峰位置是否正確,并以吸光度*大的波長作為測定波長,除另有規定外吸光度*大波長應在該品種項下規定的波長±2nm以內,否則應考慮試樣的同一性、純度以及儀器波長的準確度。


       9.用于制劑含量測定時,應注意供試液與對照液的pH值是否一致,如pH值對吸收有影響,則應調溶液的pH值一致后再測定吸光度。


6、結果計算

       6.1對照品比較法
       可根據供試品溶液及對照品溶液的吸光度與對照品溶液的濃度以正比法算出供試品溶液的濃度,再計算含量。
c樣品=A樣品×c對照A對照
       式中A為吸光度值;
       c為測試液濃度(以mgml計)。
       6.2吸收系數法

       規定的吸收系數,系指E,即在指定波長時,光路長度為1 cm,試樣濃度換算為1%(gml)時的吸光度值,故應先求被測樣品的E值,再與規定的E標準值比較,可計算出供試樣品的含量。

E=Acl
       式中A為供試品溶液測得的吸光度值;
       c為供試品溶液的百分濃度,即100m1中所含溶質的克數(gml);
       l為吸收池的光路長度(cm)。
       供試品的含量%=EE標準100
       式中E(樣品,為根據前式計算出的供試品吸收系數;
       E標準為標準中規定的吸收系數。

7、吸收系數測定法

       本法主要用于新品種的吸收系數測定。

       7.1測定方法

       取精制樣品精密稱取一定量,使樣品溶液配成吸光度讀數在0.6~0.8之間,置1 cm吸收池中,在規定波長處按5.8項的規定測出吸光度讀數,然后再用同批溶劑將溶液稀釋1倍,使吸光度在0.3~0.4之間,再按上述方法測定。樣品應同時測定2份,同一臺儀器測定的2份結果,對平均值的偏差應不超過±0.300,否則應重新測定。測定時,先按儀器正常靈敏度測試,然后再減小狹縫測定,直到減小狹縫吸光值不增加為止,取吸光度不改變的數據。再用4臺不同型號的儀器復測。

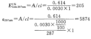
       吸收系數可根據朗伯一比爾定律求算,以下例說明。


       已知某化合物的分子量為287,用乙醇配成濃度為0.0030%的溶液,在波長297nm處,用1 cm石英池,測得吸光度為0.6139,求E值及摩爾吸收系數ε值。


       7.2測定注意事項


       7.2.1樣品應為精制品,水分或干燥失重應另取樣測定并予以扣除。


      7.2.2所用的容量儀器及分析天平應經過檢定,如有相差應加上校正值。


       7.2.3測定所用的溶劑,其吸光度應符合規定。吸收池應于臨用時配對或作空白校正。


       7.2.4稱取樣品時,其稱量準確度應按規定要求。

       7.2.5所用的分光光度計應經過嚴格檢定,特別是波長準確度和吸光度精度要進行校正。要注明測定時的溫度。

相關產品